
Elevi examen. Foto: Inquam Photos / George Călin
Profesorii de la Centrul Educațional Unirea au publicat rezolvarea subiectelor la Matematică de la examenul de Bacalaureat 2025. În videoclipul disponibil pe YouTube, aceștia explică, pas cu pas, modul de abordare a fiecărui exercițiu.
Explicațiile sunt oferite de profesorii Cristian Demian și Dina Ceban, care rezolvă subiectele la Matematică BAC 2025, specializarea Mate-Info.
„Mi s-au părut destul de în regulă, au fost foarte rezolvabile”, a spus profesoara Ceban.
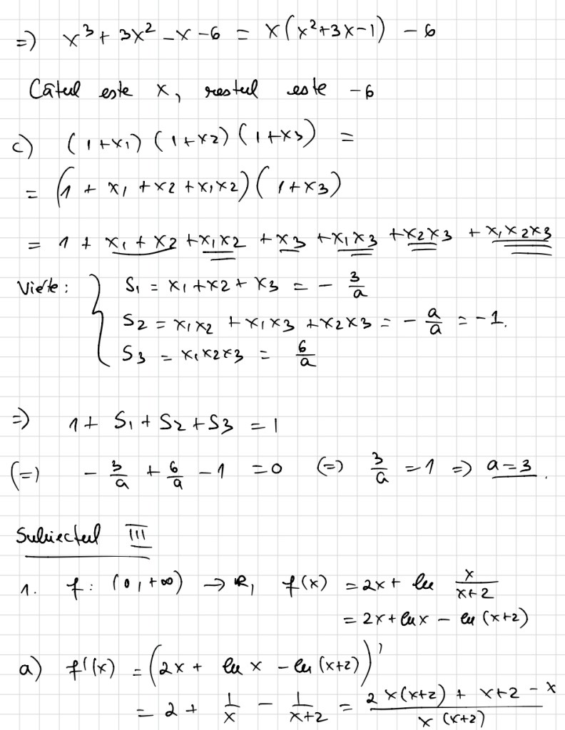
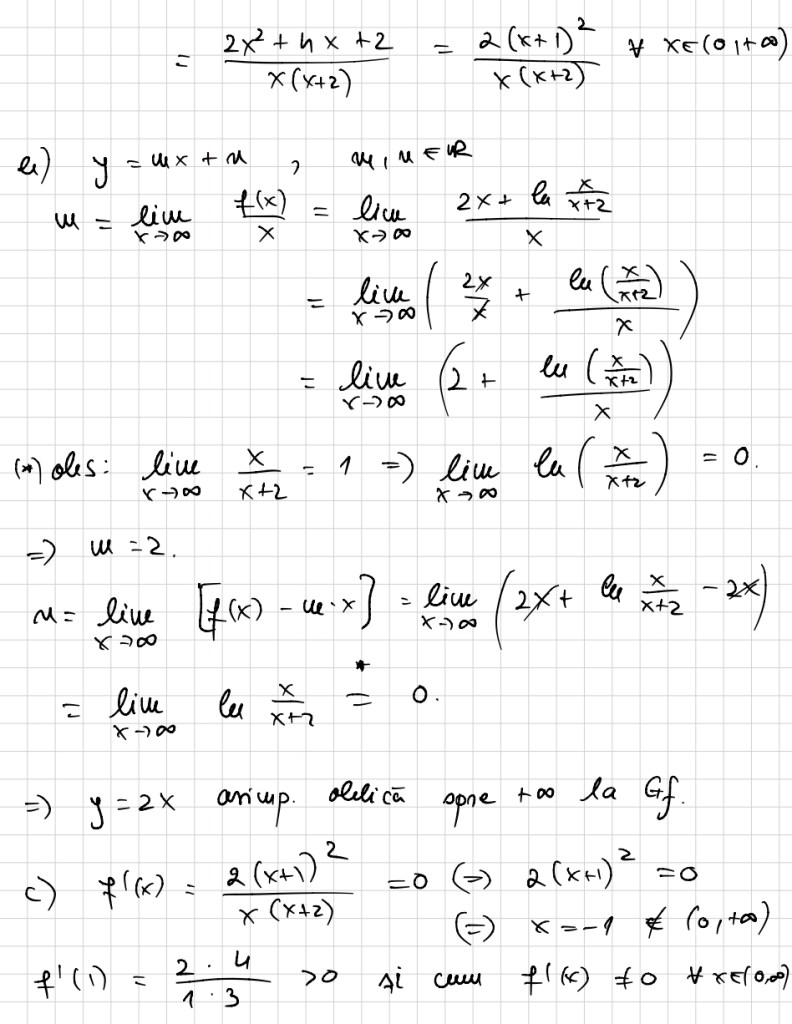
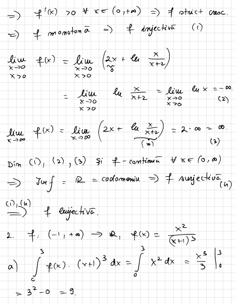
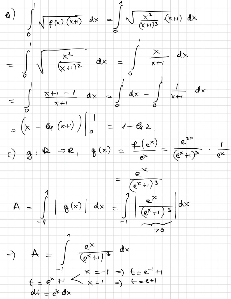
Subiectele primite miercuri de elevii de clasa a XII-a la proba de Matematică de la examenul de Bacalaureat 2025, pentru profilul real, specializarea Mate-Info, au fost rezolvate pentru publicul HotNews de Rareș Cotoi, student în anul al doilea la Facultatea de Matematică și Informatică a UBB Cluj-Napoca.
„Au fost subiecte accesibile”, a spus pentru HotNews Rareș Cotoi, student în anul al doilea la Facultatea de Matematică și Informatică a UBB Cluj-Napoca. El a făcut și rezolvarea subiectelor la matematică la BAC 2025, proba mate-info.
Vedeți mai jos cum se rezolvau cerințele:










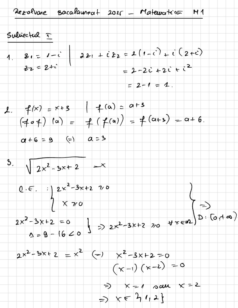
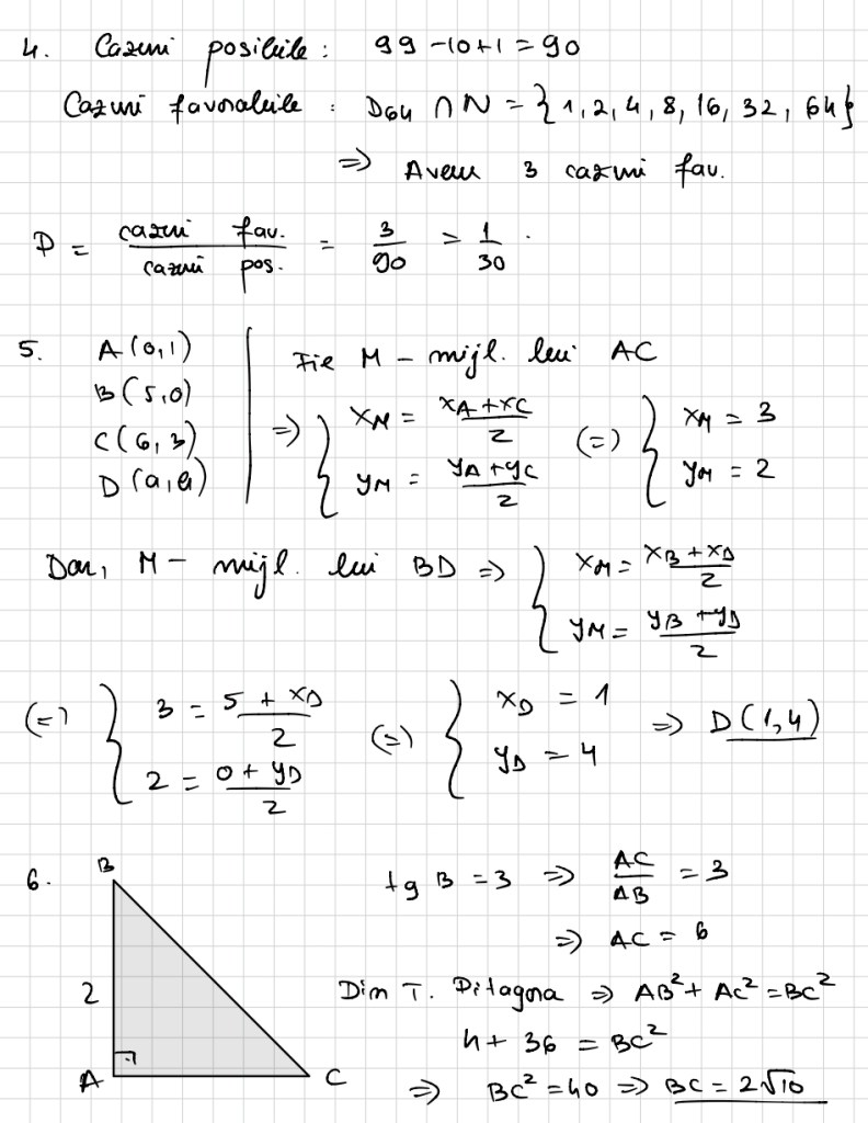
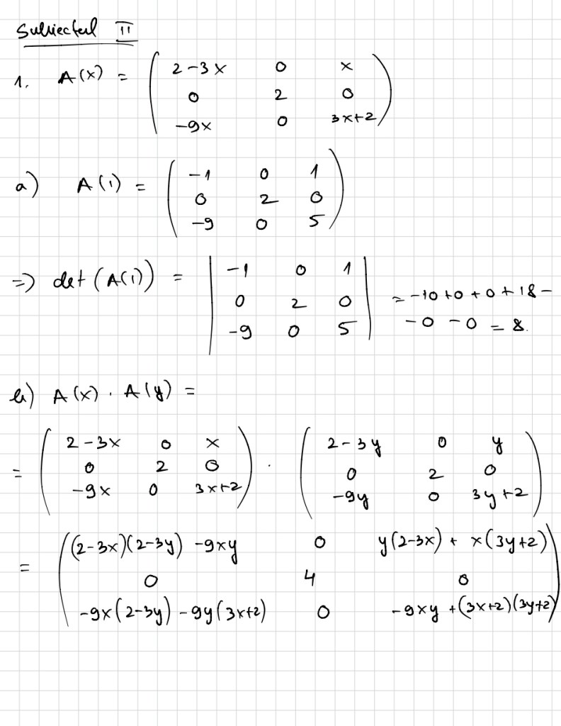
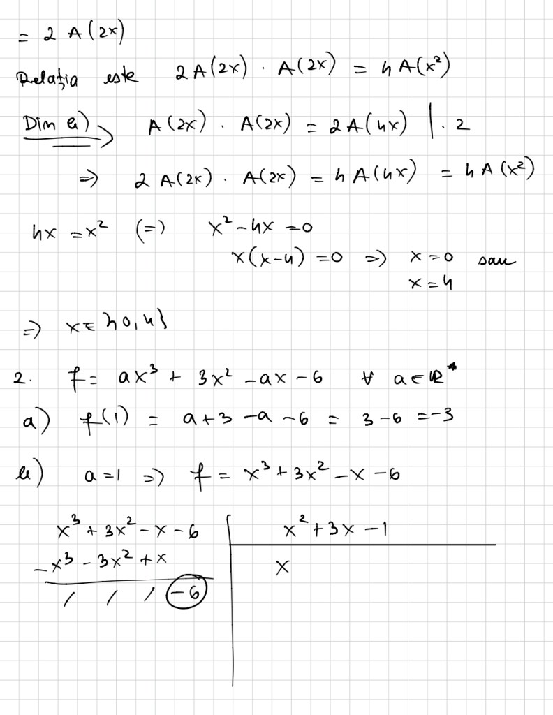
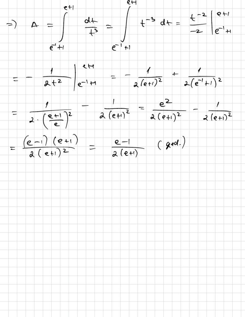
Subiecte Matematică BAC 2025 – Mate-Info – rezolvate de Rareș Cotoi, pot fi descărcate de aici:
Rezolvare Bac 2025 M1Descarcă
Subiecte matematică BAC 2025 – mate info


Elevii claselor terminale de liceu au susținut astăzi, 11 iunie, proba scrisă obligatorie a profilului la examenului de BAC 2025. Elevii de la profilul real au dat examen la Matematică, iar elevii care studiază la profilul uman au dat probă scrisă la Istorie.
Baremele și subiectele se publică în fiecare zi de examen, la ora 15:00, pe pagina web dedicată.
BAC 2025. Examenele scrise continuă zilele următoare
Examenul de BAC 2025 continuă cu probele scrise la alegere a profilului și proba la Limba maternă, acolo unde este cazul:
- 13 iunie 2025: Proba la alegere a profilului și specializării – proba E.d) – probă scrisă
- 16 iunie 2025: Limba și literatura maternă – proba E.b) – probă scrisă
Primele rezultate la BAC 2025 vor fi afișate pe 20 iunie 2025, iar elevii nemulțumiți de notele lor le pot contesta pe 23 și 24 iunie. Rezultatele finale vor fi afișate pe 30 iunie.





